Главная       Онлайн-расчеты       Научный калькулятор

Подобие треугольников

Теорема 44. 1 Признак. Если две пары сторон треугольников пропорциональны, а углы, заключенные между этими сторонами, равны, то треугольники подобны.
подобные треугольники Доказательство. Пусть стороны а и b треугольника АВС пропорциональны сторонам а’ и b треугольника А’В’С’. Преобразуем треугольник АВС подобно с коэффициентом подобия k=a’/a=b’/b. Тогда у вновь полученного треугольника А’’В’’С’’ и треугольника А’В’С’ будут две пары равных сторон и равны углы, заключенные между этими сторонами. Треугольники А’’В’’С’’ и А’В’С’ равны по признаку равенства треугольников, исходные же треугольники подобны.

Теорема 45. 2 Признак. Если три стороны одного треугольника пропорциональны трем сторонам другого, то треугольники подобны.
Доказательство. Один из треугольников преобразуем подобно так, чтобы одна из его сторон стала равна соответствующей стороне другого данного треугольника. Тогда уравниваются все три пары сторон, и второй треугольник будет равен преобразованному; исходные же треугольники подобны.
Теорема 46. 3 Признак. Если два угла одного треугольника равны двум углам другого, то треугольники подобны (конечно, при этом окажутся равными и третьи углы треугольников).
Доказательство. Преобразуем один из треугольников подобно так, чтобы одна его сторона стала равна соответствующей стороне второго треугольника. Далее рассуждаем аналогично предыдущему.
Замечание. Для прямоугольных треугольников достаточно уже любого из следующих условий:
Теорема 47. Если для данных прямоугольных треугольников имеет место равенство одной пары острых углов, то такие прямоугольные треугольники подобны
Теорема 48. Если для данных прямоугольных треугольников имеет место пропорциональность катетов, то такие прямоугольные треугольники подобны
Теорема 49. Если для данных прямоугольных треугольников имеет место пропорциональность одной пары катетов и гипотенуз, то такие прямоугольные треугольники подобны
Периметры и площади подобных треугольников.
Если два треугольника подобны с коэффициентом подобия k, то стороны их находятся в отношении k, т.е.
отношение периметров
Теорема 50. Периметры подобных треугольников относятся, как соответствующие стороны.
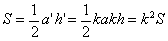
При подобном преобразовании фигуры все углы сохраняются, отрезки изменяются в одно и то же число раз. Поэтому высота h треугольника при преобразовании гомотетии с коэффициентом k перейдет в высоту треугольника h’. Для площади этого треугольника будем иметь отношение площадей
то есть при преобразовании подобия площадь умножается на квадрат коэффициента подобия.
Теорема 51. Площади подобных треугольников (и вообще любых фигур) относятся, как квадраты их линейных размеров.

Теорема Чевы Теорема 52. (Чевы) Пусть точки A1, B1 и С1 принадлежат сторонам BC, AC и AB треугольника ABC. Отрезки AA1, BB1 и CC1 пересекаются в одной точке тогда и только тогда, когда
формула


Доказательство: Докажем сначала, что если отрезки пересекаются, то произведение отношений равно 1. Пусть O - точка пересечения отрезков AA1, BB1 и CC1. Проведём через точку A прямую q, параллельную прямой BC (рис. 43). Продолжим отрезки BB1 и CC1 за точки B1 и C1 до пересечения с прямой q в точках B1 и C2 соответственно. Тогда треугольники BOA1 и B2OA подобны по двум углам. Также подобны треугольники COA1 и C2OA. Следовательно, CA1 : A1B = C2A : AB2. Также подобны треугольники BB1C и B2B1A, а значит, B1A : B1C = AB2 : CB. Аналогично BC1 :C1A = BC : AC2. Перемножив три получившихся равенства, получим:
выведение

Теорема доказана.

Докажем теперь, что если соотношение равно 1, эти отрезки пересекаются в одной точке. Пусть это не так, и отрезки AA1 и BB1 пересекаются в точке O. Проведем через точки C и O прямую. Пусть эта прямая пересекает сторону AB в точке K. В этом случае точки A1, B1 и K удовлетворяет данному соотношению по вышедоказанному. Но точки A1, B1 и C1 также удовлетворяют данному соотношению. Значит, точки K и C1 делят сторону AB в равном соотношении, то есть они совпадают. Но CK проходит через точку O. Следовательно, отрезок CC1 также проходит через эту точку. Значит, отрезки AA1, BB1 и CC1 пересекаются в точке O. Что и требовалось доказать. Теорема доказана полностью.