Главная       Онлайн-расчеты       Научный калькулятор

Тригонометрия в прямоугольном треугольнике



Определения прямоугольный треугольник Синус острого угла прямоугольного треугольника равен отношению противолежащего к данному острому углу катета и гипотенузы.
Косинус острого угла прямоугольного треугольника равен отношению прилежащего к данному острому углу катета и гипотенузы.
Тангенс острого угла прямоугольного треугольника равен отношению противолежащего к данному острому углу катета к прилежащему.
Котангенс острого угла прямоугольного треугольника равен отношению прилежащего к данному острому углу катета к противолежащему.
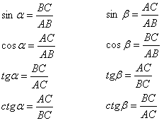
Пусть дан прямоугольный треугольник АВС такой, как показан на рисунке. Запишем определения тригонометрических функций для него:

Отсюда можно получить следующие формулы:



Катет прямоугольного треугольника равен:



Гипотенуза прямоугольного треугольника равна:


Или в виде определений:
Катет прямоугольного треугольника равен произведению: гипотенузы и синуса противолежащего угла; гипотенузы и косинуса прилежащего угла; другого катета и тангенса противолежащего угла; другого катета и котангенса прилежащего угла.

Гипотенуза прямоугольного треугольника равна отношению: катета и синуса, противолежащего этому катету угла; катета и косинуса, прилежащего этому катету угла (не зависимо от того, какой катет известен).