Главная       Онлайн-расчеты       Научный калькулятор

Задача №157

Основанием прямого параллелипипеда служит ромб АBCD. Сторона ромба равна а, один из его углов - альфа. Боковое ребро параллелипипеда равно а. Вычислите длины диагоналей параллелипипеда и расстояние между его ребрами ВС и АD.
рисунок к задаче 157 Для нахождения диагоналей параллелипипеда найдем диагонали основания.
основание
Треугольник ABD - равнобедренный (АВ=АD - стороны ромба), поэтому ABD=ADB=(180°-α)/2=90°-α/2
Применим теорему синусов:
нашли BD
Рассмотрим треугольник АВС. По четвертому свойству (св-во диагоналей) ромба ВАС=ВСА=α/2
Применим теорему синусов:
нашли АС
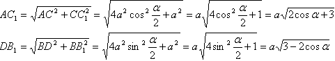
Теперь соответственно из треугольников АС1С и DВ1В по теореме Пифагора:
нашли диагонали
Для нахождения расстояния между ребрами ВС и АD (высота основания) расмотрим треугольник АВD и его высоту. Получим: h=asinα