Главная       Онлайн-расчеты       Научный калькулятор



Задача №173



В равнобедренном треугольнике центр вписанной в треугольник окружности делит высоту в отношении 5:2(считая от вершины), а длина боковой стороны 25см. Вычислить длину основания треугольника.
рисунок к задаче 173 Нужно отметить, что имеется в виду высота основания, т.к. высоты боковых сторон не проходят через центр вписанной окружности, вернее проходят только в случае правильного треугольника, но в случае правильного треугольника отношение было бы 2:1 (св-во медиан).
Пользуясь тем, что радиус, проведенный в точку касания, перпендикулярен касательной, докажем, что ОК перпендикулярен ВС. Прямоугольные треугольники ОСН и ОСК равны по катету и гипотенузе (ОК=ОН - радиусы, ОС - общая), поэтому НС=КС.
ОВ=5х, ОН=ОК=2х, ВН=7х. В прямоугольном треугольнике ОВК найдем ВК:
нашли ВК
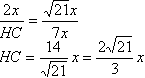
Прямоугольные треугольники ВСН и ВКО подобны по острому углу (при вершине В), поэтому:
ОК:НС=ВК:ВН
выражаем через х
Теперь запишем теорему Пифагора для треугольника ВСН:
нашли ч и подставили найденное значение в выражение для НС
По свойству равнобедренного треугольника высота ВН являтеся также и медианой, поэтому АН=НС или АС=2НС=20