Главная       Онлайн-расчеты       Научный калькулятор



Задача №179



В треугольнике ABC угол А равен 60 градусов, длина стороны АВ равна 8 см, а длина стороны ВС равна 13 см. Найти длину стороны АС и площадь треугольника АВС.
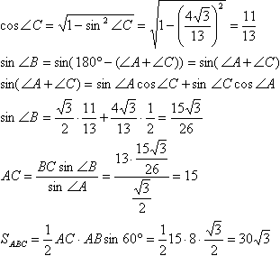
рисунок к задаче 179 Запишем теорему синусов для треугольника АВС:

нашли синус угла С
Теперь найдем синус угла В, а затем и торону АС и площадь треугольника через две стороны и угол между ними:


ответы