Главная       Онлайн-расчеты       Научный калькулятор



Задача №187



Разность сторон параллерограмма равна 2. Большая диагональ равна 22, а меньшая диагональ равна большей стороне параллерограмма. Найти стороны параллерограмма.
рисунок к задаче 187 Уточним: ВС=АВ+2; АС=22; BD=ВС=АВ+2. Вспомним, противоположные стороны параллелограмма равны: AD=ВС=АВ+2; диагонали параллелограмма точкой пересечения делятся пополам АО=ОС=11.
Рассмотрим треугольник ABD. АО - медиана, т.к. соединяет вершину с серединой противоположной стороны. Обозначим: АВ=а; AD=АВ+2=а+2; BD=АВ+2=а+2;
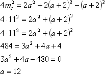
АО=m(mc)
В задаче 117 мы вывели формулу для медианы треугольника через стороны. Используя её, запишем:
нашли меньшую сторону
И теперь АВ=CD=а=12; AD=ВС=а+2=14