Главная       Онлайн-расчеты       Научный калькулятор



Задача №189



Стороны оснований и боковое ребро прямоугольного паралелепипида относятся как 1/2/2. диагональ паралелепипида равна 6см. найдите площадь боковой поверхности этого паралелепипида
рисунок к задаче 189 Параллелепипед прямоугольный, т.е. все его грани прямоугольники. Надо сразу заметить, что противоположные грани параллелепипеда равны, поэтому площадь боковой поверхности будет вычисляться по формуле:
Sбок=2SABB1A1+2SCBB1C1
Из прямоугольного треугольника АВС вычислим АС по теореме Пифагора, а затем тем же методом вычислим АС1:
диагональ параллелепипеда равна корню из суммы квадратов его измерений
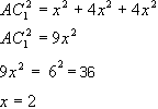
Зная, что АВ:ВС:СС1=1х:2х:2х, получим:
нашли х
Найдем площади:
ответ