Главная       Онлайн-расчеты       Научный калькулятор



Задача №199



Дан куб АВСDА1В1С1D1,Найдите угол между прямыми АD1 и ВМ, где М - середина ребра DD1.
рисунок к задаче 199 Для удобства решения развернем куб так, как показано на рисунке. Вспомним определение: Углом между скрещивающимися прямыми называется угол между двумя прямыми, параллельными им и проходящими через произвольную точку. Пусть точка М будет произвольной точкой, тем более, что одна из скрещивающихся прямых ВМ уже через неё проходит. Нам остается сделать параллельный переход для AD1. Для этого через точку М в плоскости ADD1A1 проведем прямую МК параллельно AD1. Угол ВМК - искомый.
Вспомним формулу двойного проектирования. Пусть ВМ - наклонная, МК - прямая в плоскости. Тогда АМ - проекция. Запишем формулу:
cosВМК=cosBMA * cosAMK
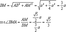
Обозначим ребро куба за а. Из прямоугольного треугольника АМD:
нашли угол
Из прямоугольного треугольника АВМ:
определили угол
Из теоремы о том, что параллельные прямые отсекают на сторонах угла пропорциональные отрезки, заключаем, что точка К - середина AD. Из прямоугольного равнобедренного треугольника KDM:
угол KMD
Найдем косинус угла АМК через разность углов АМD и KMD:
cosAMK=cos(AMD-KMD)=cosAMD * cosKMD+sinAMD * sinKMD
нашли угол АМК
Осталось подставить найденные значения в формулу:
ответ
Есть еще один способ:
Из прямоугольного треугольника АВК найдем ВК:
нашли ВК Теперь в треугольнике МКВ запишем теорему косинусов:
еще одно решение