Главная       Онлайн-расчеты       Научный калькулятор

Задача №228

Длина окружности сечения шара плоскостью равна 6π. Расстояние от центра шара до плоскости сечения 3. Вычислите объем шара. рисунок к задаче 228
Итак, опустим перпендикуляр ОА на плоскость сечения. Отрезок ОА будет расстоянием от центра шара до плоскости сечения по определению, и поэтому ОА=3. Точка А является центром окружности-сечения
Это следует из того, что точка А равноудалена от всех точек этой окружности. Так, например, треугольники ОАВ и ОАС прямоугольны (т.к. ОА перпендикулярно плоскости сечения) и равны по катету и гипотенузе (ОА - общая, ОС=ОВ - радиусы шара).
Значит, АВ является радиусом сечения. Пусть радиус сечения - r, тогда по формуле длины окружности:
l=2πr=6π
r=3
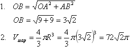
1. Из прямоугольного треугольника АОВ по теореме Пифагора получаем:
ответ
2. Нашли объем шара по формуле объема